1Graduate Student, College of Nursing, Korea University, Seoul, Korea
2Professor, College of Nursing, Korea University, Seoul, Korea
3Clinical Professor, Department of Cardiology, Korea University Anam Hospital, Seoul, Korea
Purpose
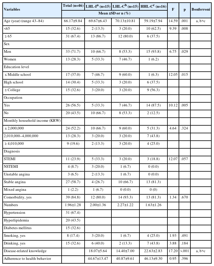
This study aimed to examine the effects of a post-discharge tailored telephone (TATE) follow-up program for patients with low health literacy (LHL) who had undergone percutaneous coronary intervention. Methods: This pilot study employed a non-equivalent control group pretest–posttest design to evaluate the preliminary effects of a TATE follow-up program at a university hospital in Seoul. Data were collected from July 2020 to September 2021. A total of 51 patients were recruited, and 46 completed the study. Patients were divided into three groups: an intervention group with LHL, a control group with LHL, and a control group with high health literacy. The intervention group received two 15-minute phone calls as part of the TATE follow-up program. Results: The TATE follow-up program significantly improved disease-related knowledge in the intervention group compared with the control groups (p=.001). The intervention group also reported significantly higher satisfaction with nursing services than the other two groups (p=.006). However, there were no significant differences in changes in health behavior adherence among the groups, although the intervention group with LHL showed the greatest increase of 17.5 points after the intervention. Conclusion: This pilot study demonstrated that the TATE follow-up program was effective and feasible for improving disease-related knowledge and satisfaction with nursing services among patients with LHL. These findings highlight the importance of tailored transitional care interventions to support cardiovascular disease management and secondary prevention.