1Associate Professor, College of Nursing, Inje University, Busan, Korea
2Researcher, Health Insurance Research Institute, NHIS, Wonju, Korea
3Professor, Red Cross College of Nursing, Chung-Ang University, Seoul, Korea
4Associate Professor, Convergence and Open Sharing System in Biohealth Sciences Project Group, Daejeon University, Daejeon, Korea
5Associate Professor, Red Cross College of Nursing, Chung-Ang University, Seoul, Korea
Purpose
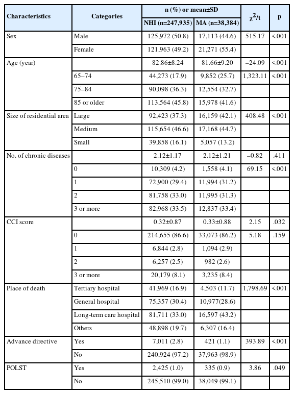
This study investigated differences in the use of life-sustaining treatments during the last six months of life between older adults covered by the National Health Insurance (NHI) and those enrolled in the Medical Aid (MA) program. Methods: A retrospective cohort design was applied using national claims data from the National Health Insurance Service. The study population included individuals aged ≥65 years who died in 2023, with 286,319 decedents (247,935 with NHI and 38,384 with MA) analyzed. We compared hospitalization frequency and duration, intensive care unit (ICU) stays, and the use of life-sustaining treatments, including cardiopulmonary resuscitation, mechanical ventilation, hemodialysis, chemotherapy, transfusions, and vasopressors, between NHI and MA groups. Logistic regression analyses were conducted with adjustments for age, sex, comorbidities, place of death, and advance care planning status. Results: Completion rates of advance directives and physician orders for life-sustaining treatment were lower in MA than in NHI decedents. MA decedents had fewer admissions but significantly longer hospital and ICU stays than NHI decedents. They were less likely to receive mechanical ventilation, chemotherapy, transfusion, and vasopressors but more likely to undergo hemodialysis. Conclusion: Substantial disparities exist in end-of-life care by insurance type, suggesting that socioeconomic inequalities and reimbursement structures influence patterns of intensive care near the end of life. Targeted interventions are needed to ensure equitable, patient-centered end-of-life care for socioeconomically vulnerable older adults.